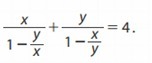
Пусть x, y - два разных действительные числа, удовлетворяющие условию
Чему равно х+y?
Приложения:

Ответа на этот вопрос пока нет. Попробуйте найти его через форму поиска.
Вас заинтересует
2 года назад
2 года назад
7 лет назад
7 лет назад
9 лет назад
10 лет назад