• Предмет: Математика
  • Автор: AllaW
  • Вопрос задан 9 лет назад

Четвертый член геометрической прогрессии в 3 раза больше её первого члена. Во сколько раз десятый член этой прогрессии больше её четвёртого?

Ответы

Ответ дал: Матов
0
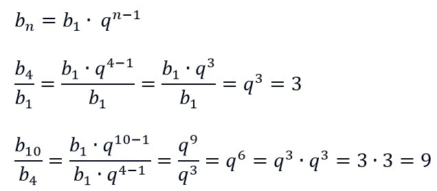
   dfrac{b_{4}}{b_{1}}=3  \
 b_{4}=3b_{1}  \
 q^3=3\  
 dfrac{b_{10}}{b_{4}} =  dfrac{q^9}{q^3} = q^6 =  (q^3)^2 = 3^2 = 9 
   
 То есть в  9 раз . 
Ответ дал: ДмитрийМитченков
0
Немного поподробнее, чем у товарища ниже...
Приложения:
Вас заинтересует