• Предмет: Математика
  • Автор: chemodanclan3
  • Вопрос задан 9 лет назад

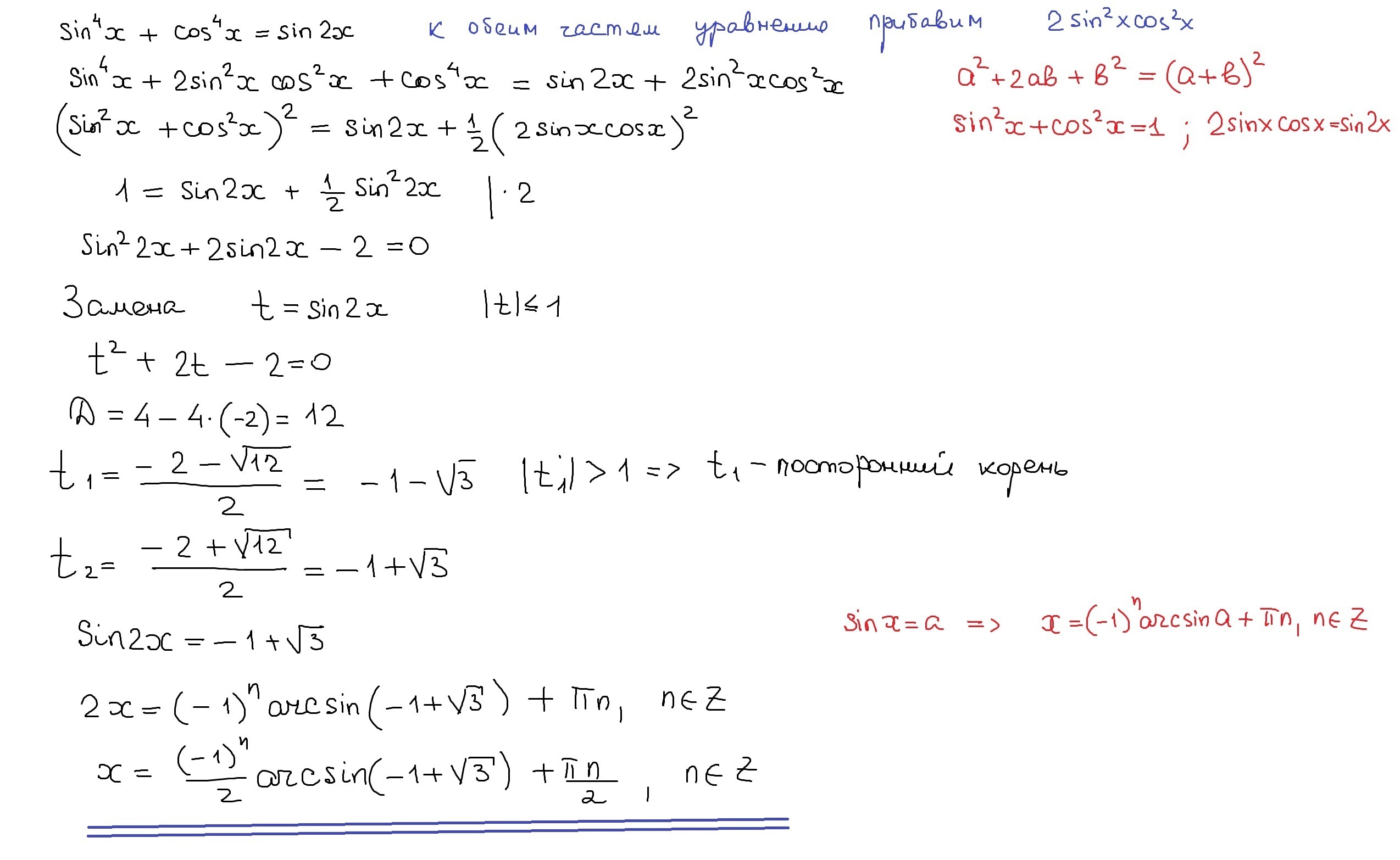
Sin^4х+cos^4х=sin2x решите пожалуйста с объяснением, спасибо.

Ответы

Ответ дал: TatianaStebko
0
Смотри решение на фото
Приложения:
Вас заинтересует