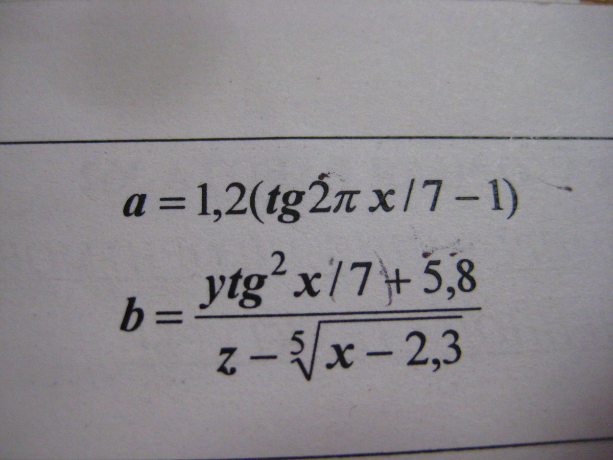
как правильно записать выражения(на фото) в Turbo Pascal ? если можно ответ тоже фото
Приложения:
Ответы
Ответ дал:
0
a := 1.2 * (sin(2*pi)/cos(2*pi) * x / 7 - 1);
b := (y * exp(ln(sin(x) / cos(x)) * 2) / 7 + 5.8) / (z - exp(ln(x - 2.3) / 5));
Если что, exp(ln(a) * n) - это возведение a в стапень n, exp(ln(a) / n) - корень n-ной степени из a.
Вас заинтересует
3 года назад
3 года назад
8 лет назад
11 лет назад