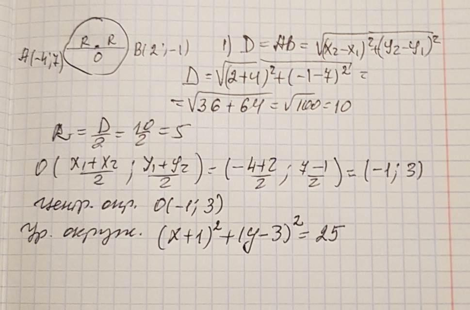
точки A (-4;-7) и BMW (2;-1) являются концами диаметра окружности. Найдите диаметр окружности и координаты её центра. Запишите уровнение окружности.
Ответы
Ответ дал:
0
решение задания смотри на фотографии
Приложения:
Вас заинтересует
3 года назад
3 года назад
7 лет назад
7 лет назад
10 лет назад
10 лет назад
10 лет назад
10 лет назад