• Предмет: Математика
  • Автор: Alex364
  • Вопрос задан 9 лет назад

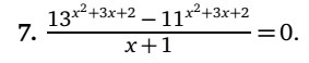
Решите показательное уравнение

Приложения:

Ответы

Ответ дал: ВладимирБ
0
Решение смотри на фото
Приложения:
Вас заинтересует