• Предмет: Алгебра
  • Автор: mailkolmykov
  • Вопрос задан 11 лет назад

Срочно нужно, пожалуйста решите систему уравнений

Приложения:

Ответы

Ответ дал: Дилетант1
0

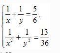
1/x+1/y = 5/6; 1/x^2+1/y^2 = 13/36

x+y/xy = 5/6; x^2+y^2/x^2y^2 = 13/36

(x+y/xy)^2 = (5/6)^2; x^2+y^2/x^2y^2 = 13/36

x^2+2xy+y^2/x^2y^2 = 25/36; x^2+y^2 = 13/36

x^2+2xy+y^2-x^2-y^2/x^2-y^2 = 25-13/36

2xy/x^2y^2 = 12/36; 2xy/x^2y^2 = 1/3; 2*xy/xy*xy = 1/3; 2/xy = 1/3; xy = 2*3; xy = 6

x+y/6 = 5/6; 6(x+y) = 6*5; x+y = 5

x+y = 5; xy = 6

по теореме Виета находим x = 2 и y = 3 v x = 3 и y = 2

Ответ: (2;3);(3;2).  

 

 

Вас заинтересует