• Предмет: Алгебра
  • Автор: zaimbetova
  • Вопрос задан 11 лет назад

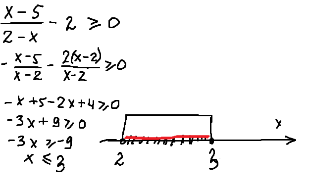
X-5/2-x больше или равно 2. ПОМОГИТЕ РЕШИТЬ ПОЖАЛУЙСТА

Ответы

Ответ дал: Аноним
0

см. вложение

=========================================

Приложения:
Ответ дал: laymlaym2
0

frac{x-5}{2-x}geq2\frac{x-5}{2-x}-2geq0\frac{x-5-4+2x}{2-x}geq0\frac{3x-9}{2-x}geq0\f(x)=frac{3x-9}{2-x}\D(f): 2-xneq0\.        xneq2\f(x)=0\frac{3x-9}{2-x}=0\3x-9=0\3x=9\x=3

Чертим координатную прямую наносим числа 3 и 2, вычислям знаки на интервалах:

Вложение.

Из рисунка следует:

xin (2;3]

Приложения:
Вас заинтересует