• Предмет: Математика
  • Автор: bayan02
  • Вопрос задан 9 лет назад

[email protected]

Приложения:

Ответы

Ответ дал: Luluput
0
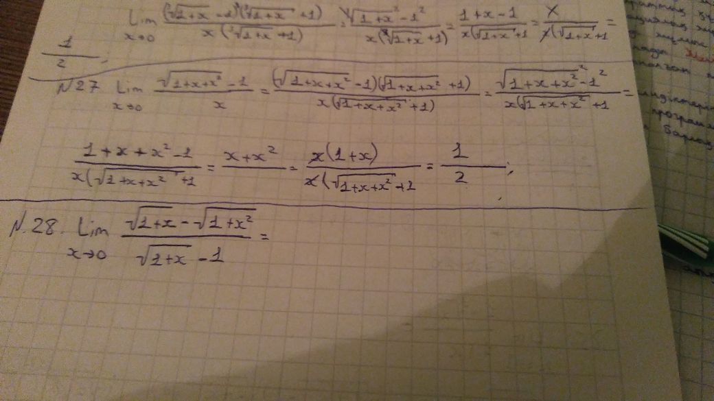
 lim_{n to0}  frac{ sqrt{1+x} - sqrt{1+ x^{2} } }{ sqrt{1+x}-1 }

frac{ sqrt{1+x} - sqrt{1+ x^{2} } }{ sqrt{1+x}-1 }=frac{ (sqrt{1+x} - sqrt{1+ x^{2} })( sqrt{1+x}+ sqrt{1+x^2})( sqrt{x+1}+1)    }{ (sqrt{1+x}-1 )( sqrt{x+1}+1)( sqrt{1+x^2}) }== frac{(1+x-1-x^2)( sqrt{x+1}+1) }{(x+1-1)( sqrt{1+x}+ sqrt{1+x^2})  } = frac{x(1-x)( sqrt{x+1}+1) }{x( sqrt{1+x} + sqrt{1+x^2}) } =frac{(1-x)( sqrt{x+1}+1) }{ sqrt{1+x} + sqrt{1+x^2} }

 lim_{n to0} frac{(1-x)( sqrt{x+1}+1) }{ sqrt{1+x} + sqrt{1+x^2} } =  lim_{n to 0} frac{(1-0)( sqrt{0+1}+1) }{ sqrt{1+0} + sqrt{1+0^2} }= frac{2}{2} =1

Ответ: 1
Вас заинтересует