• Предмет: Информатика
  • Автор: supermen5000f
  • Вопрос задан 9 лет назад

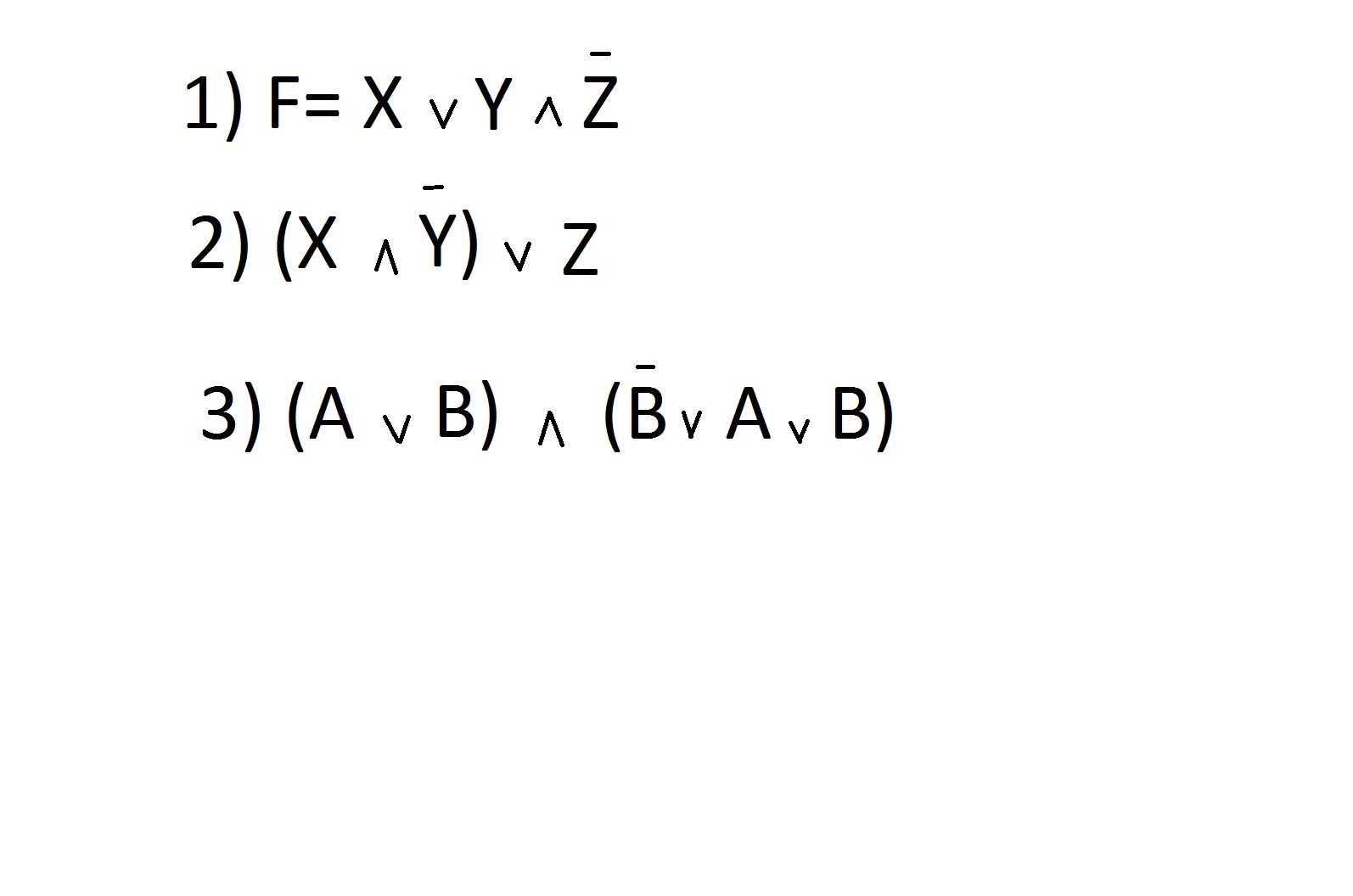
Задание по таблице истинности. Даю много баллов и благодарность)

Приложения:

Ответа на этот вопрос пока нет. Попробуйте найти его через форму поиска.

Вас заинтересует