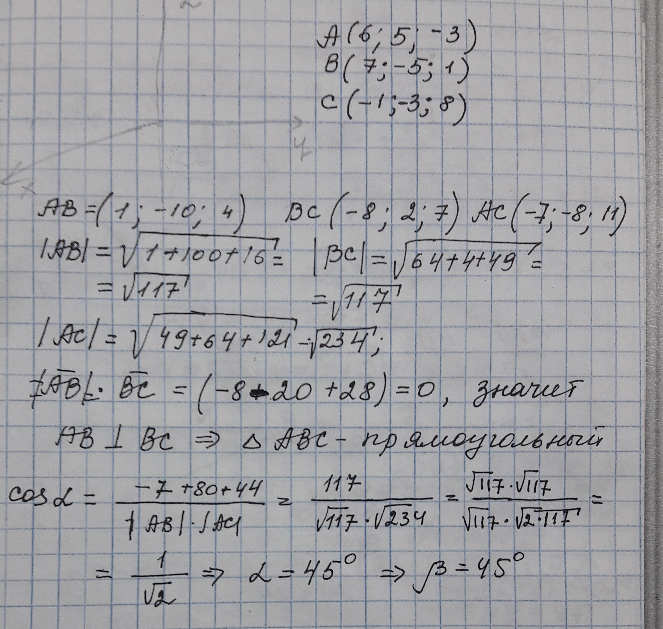
Заданы вершины треугольника A(6;5;-3;), B(7;-5;1) И C (-1;-3;8). Докажите что этот треугольник прямоугольный и найдите косинусы его острых углов
Ответы
Ответ дал:
0
вектора перпендикулярны, если их скалярное произведение равно нулю
Приложения:

Вас заинтересует
2 года назад
2 года назад
7 лет назад
7 лет назад
9 лет назад
9 лет назад
10 лет назад