• Предмет: Алгебра
  • Автор: Olesya1600
  • Вопрос задан 9 лет назад

Решите 4, пожалуйста

Приложения:

Ответы

Ответ дал: подкожного
0
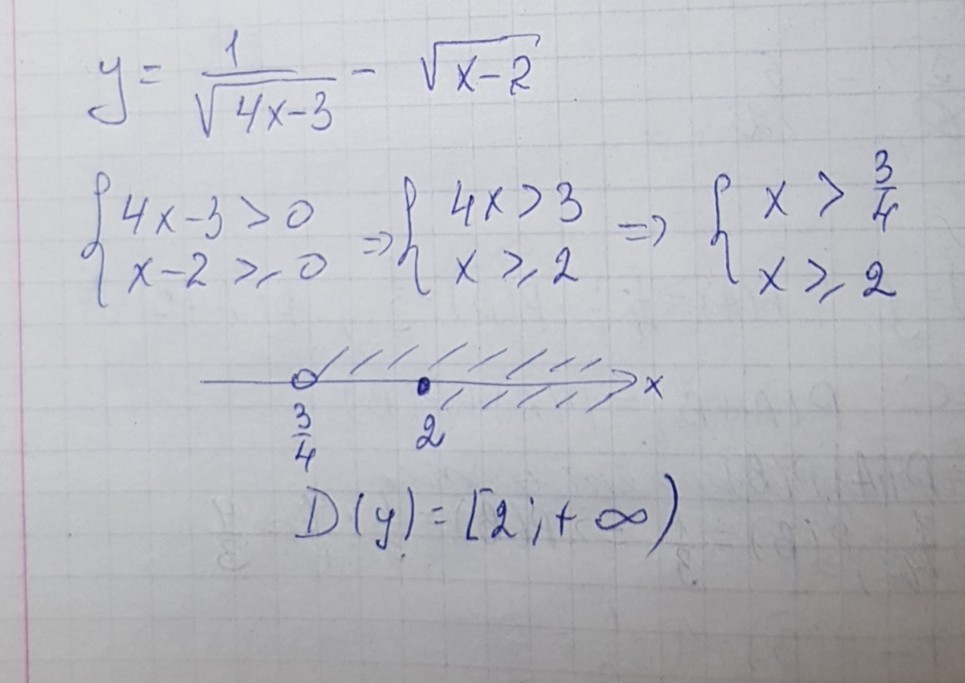
решение задания смотри на фотографии
Приложения:
Вас заинтересует