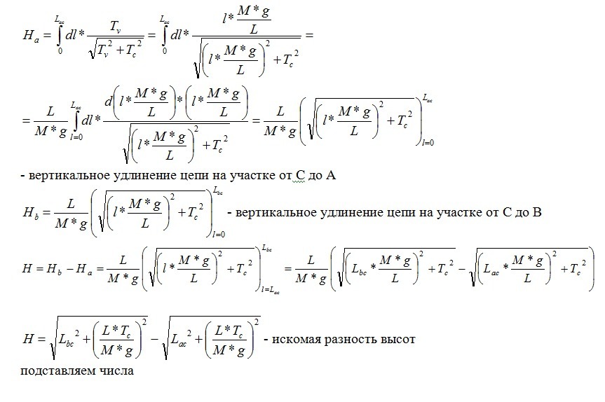
Однородная гибкая цепочка длиной L=42 смL=42 см подвешена за свои концы в точках AA и BB так, как показано на рисунке. Точка CC – самая нижняя точка цепочки. Силы натяжения цепочки в точках AA, BB и CC составляют TA=1,3 НTA=1,3 Н, TB=1,5 НTB=1,5 Н и TC=1,2 НTC=1,2 Н соответственно. Определите высоту HH между концами цепочки. Ответ выразите в см, округлив до целых.
Ответы
Ответ дал:
0
копирую СВОЕ решение из другой задачи и размещаю здесь
************************************************************************
смотри решение во вложениях - два скриншота с выводом формул и один скриншот с результатами для 4-х вариантов
************************************************************************
смотри решение во вложениях - два скриншота с выводом формул и один скриншот с результатами для 4-х вариантов
Приложения:



Вас заинтересует
2 года назад
9 лет назад
9 лет назад
10 лет назад