• Предмет: Алгебра
  • Автор: askow
  • Вопрос задан 9 лет назад

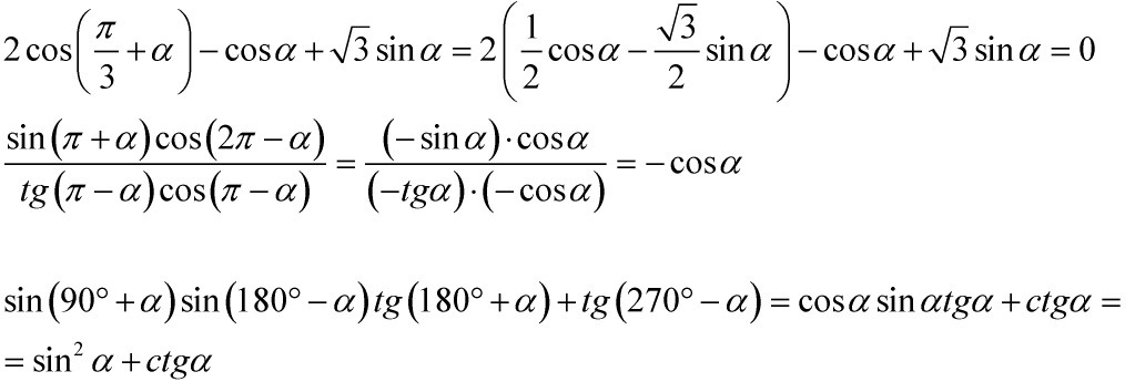
Помогите упростить,пожаааааааалуйста!!

Приложения:

Ответы

Ответ дал: Аноним
0
...........................................
Приложения:
Вас заинтересует