Ответы
Ответ дал:
0
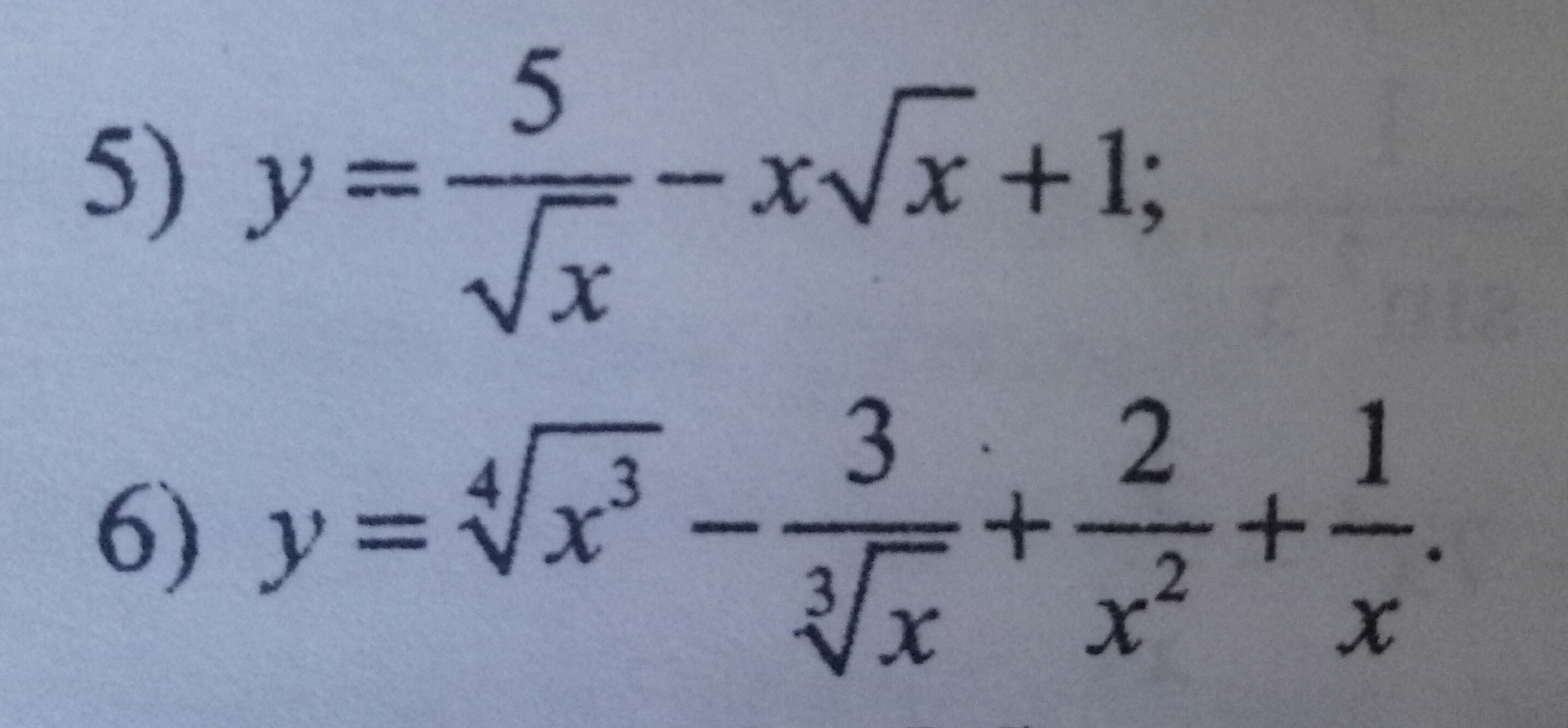
y(x)=5/√x-x√x+1
y'(x)=-5/2/(√x^3)-3/2√x
y(x)=x^(3/4)-3/x^(1/3)+2/x²+1/x
y'(x)=3/4*x^(-1/4)+x^(-4/3)-4/x³-1/x²
y'(x)=-5/2/(√x^3)-3/2√x
y(x)=x^(3/4)-3/x^(1/3)+2/x²+1/x
y'(x)=3/4*x^(-1/4)+x^(-4/3)-4/x³-1/x²
Вас заинтересует
2 года назад
7 лет назад
7 лет назад
10 лет назад
10 лет назад