• Предмет: Физика
  • Автор: Griffonov
  • Вопрос задан 11 лет назад

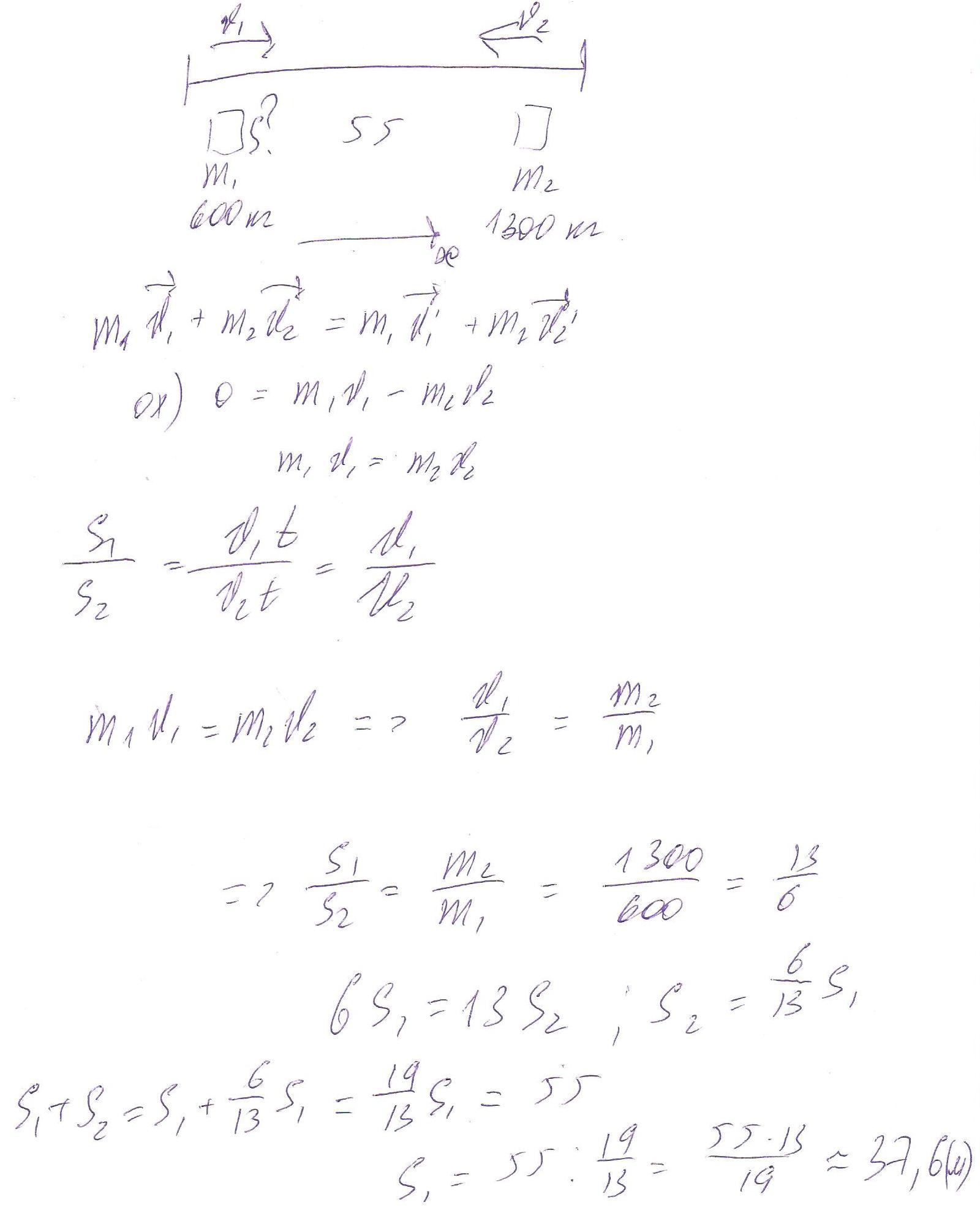
Масса лодки равна 600 кг, а масса катера 1300 кг. С катера скинули канат. И начали тянуть равномерно из состояния покоя. Какой путь прошла лодка до встречи с катером, если расстояние между ними 55 метров. Сопротивление воды пренебречь.

Ответы

Ответ дал: Artem112
0

вот такая версия из закона сохранения импульса и равномерного движения:

Приложения:
Вас заинтересует