• Предмет: Математика
  • Автор: irCAT
  • Вопрос задан 9 лет назад

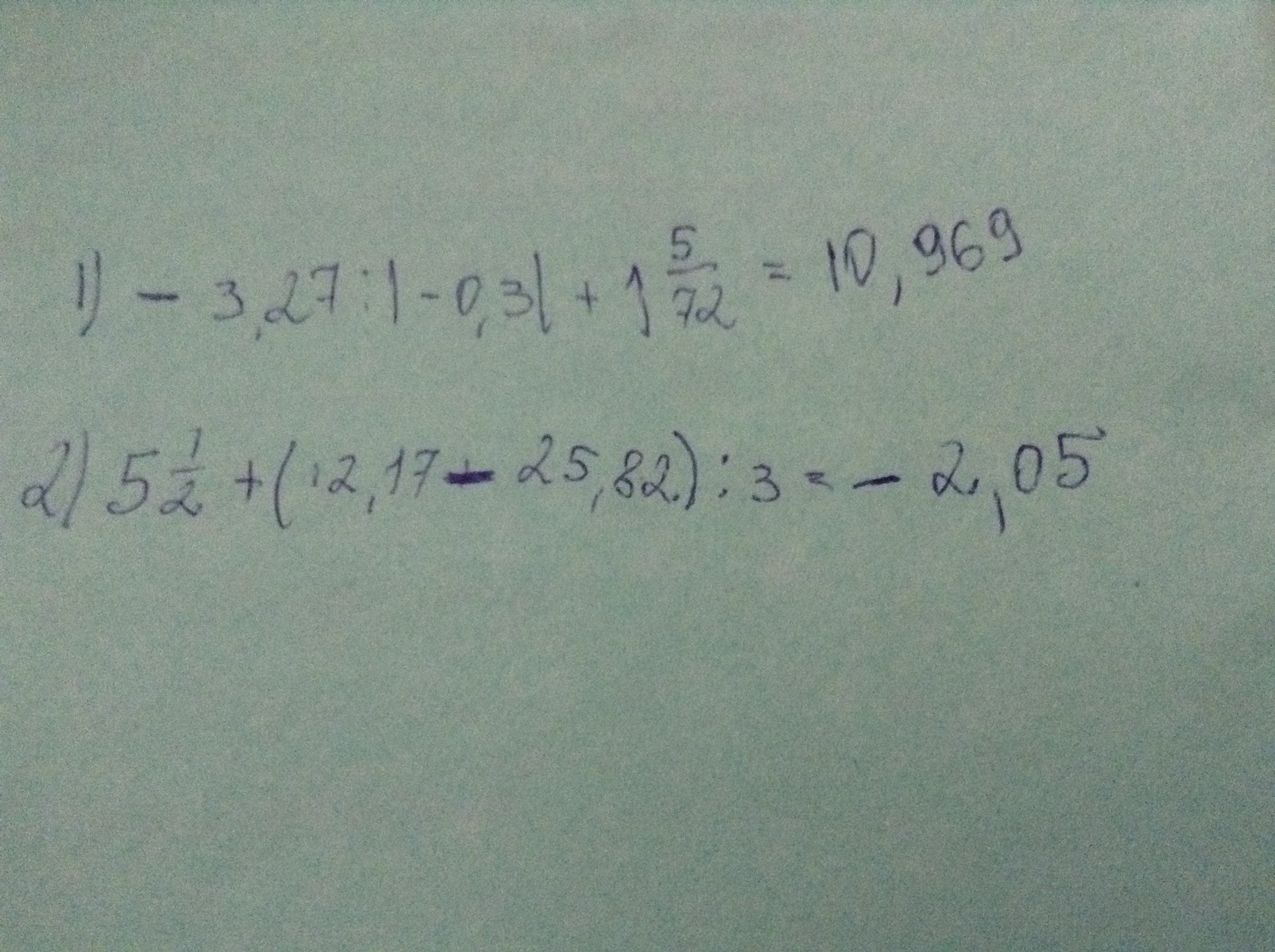
1. Найдите значение выражения-3,27:|-0,3|+1 целая 5/7
2.Найдите значение выражения 5 целых 1/2+(12,17-25,82):3

Ответы

Ответ дал: Polmilana
0
Вот если что то не понятно пиши отвечу!!
Приложения:
Ответ дал: DashaLeg
0
А можете написать решение по действиям?
Вас заинтересует