• Предмет: Алгебра
  • Автор: Арина9087
  • Вопрос задан 9 лет назад

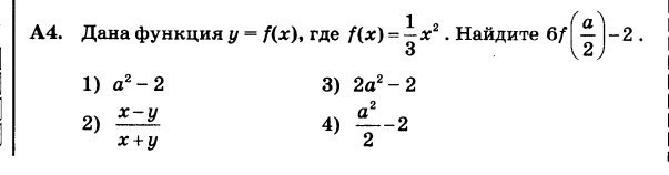
Нужно решить что на фотке. Именно решить, а не выбрать что на фото

Приложения:

Ответы

Ответ дал: therealcf2014
0
f( frac{a}{2} )= frac{1}{3} *  (frac{a}{2}) ^2 =  frac{a^2}{3*4} = frac{a^2}{12}
6*frac{a^2}{12}-2=frac{a^2}{2}-2 
Вас заинтересует