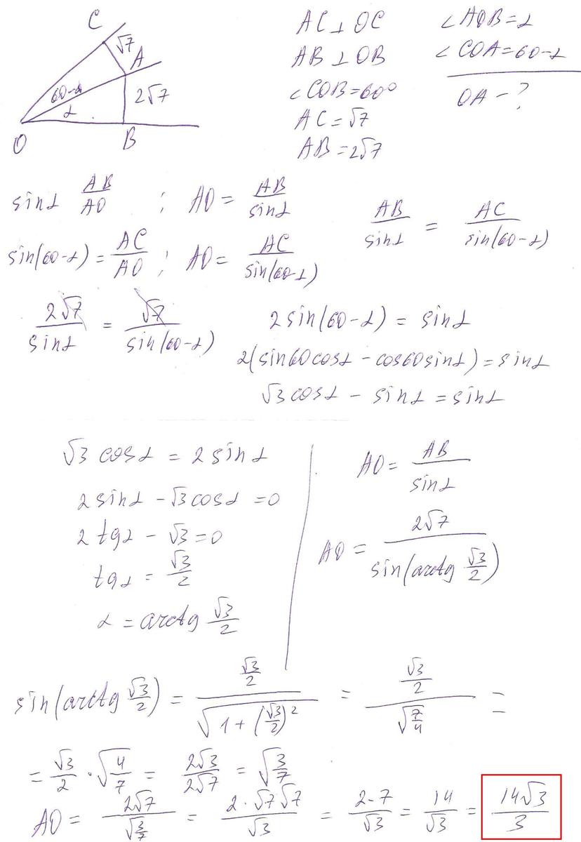
Внутри угла величиной 60(градусов) расположена точка, отстоящая на расстоянии и
от сторон угла. Найдите расстояние d от этой точки до вершины угла.
Ответы
Ответ дал:
0
надеюсь будет понятно....
Приложения:

Вас заинтересует
2 года назад
8 лет назад
10 лет назад
10 лет назад
10 лет назад