Ответы
Ответ дал:
0
Формула замены:(f-
(9 - 6x + x² - 5 + x²)(9 - 6x + x² + 5 - x²), -x² ≥ -5;
(2x² - 6x + 4)(-6x + 14), -x² ≥ -5;
(x² - 3x + 2)(-3x + 7), x² ≤ 5;
(x - 1)(x - 2)(-3x + 7), -√5 ≤ x ≤ √5;
x>0: (-∞; 1)∪(2; 7/3)
Рассмотрим
sin...>0 при ...∈(-2π;-π)∪(0;π)∪(2π;3π)
sin...>0 при ...∈(0 + 2πn; π + 2πn), n ∈ Z
3x - 12 ∈ (0 + 16πn; 8π + 16πn), n ∈ Z; (проще неравенством)
0 + 16πn < 3x - 12 < 8π + 16πn;
12 + 16πn < 3x < 12 + 8π + 16πn;
4 + (16/3)πn < x < 4 + (8/3)π + (16/3)πn;
4 + (16/3)πn ≈ -12,75 или 4 или 20,75 (n = -1, 0, 1)
4 + (8/3)π + (16/3)πn ≈ 8,37 или 12,37 или 29,12 (n = -1, 0, 1)
x>0: ( -12,75; 8,37)∪(4; 12,37)∪(20,75; 29,12)
Аналогично
0 + 2πn <
16πn < x - 2 < 8π + 16πn;
2 + 16πn < x < 2 + 8π + 16πn;
2 + 16πn ≈ -48,24 или 2 или 52,24 (n = -1, 0, 1)
2 + 8π + 16πn ≈ -23,12 или 27,12 или 77,36 (n = -1, 0, 1)
x>0: ( -48,24; -23,12)∪(2; 27,12)∪(52,24; 77,36)
Теперь, когда нам известны промежутки знакопостоянства всех множи-телей можно определить знаки всего выражения
(не забудем минус в знаменателе)
Перемножив знаки на промежутках и ограничив их ОДЗ получаем ответ
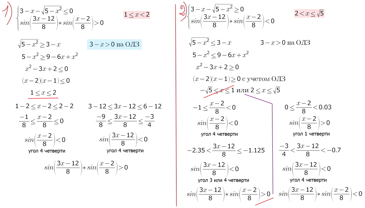
x∈[1; 2)(2; √5]
Ответ дал:
0
ОДЗ (к счастью) не так уж и велика...
для иррационального неравенства правая часть окажется на ОДЗ положительной, т.е. обе части неравенства можно будет возвести в квадрат... и для получившихся значений (х) в числителе "посмотреть" знаки синусов из знаменателя...
для иррационального неравенства правая часть окажется на ОДЗ положительной, т.е. обе части неравенства можно будет возвести в квадрат... и для получившихся значений (х) в числителе "посмотреть" знаки синусов из знаменателя...
Приложения:


Вас заинтересует
2 года назад
7 лет назад
9 лет назад