• Предмет: Математика
  • Автор: Babanjazovru
  • Вопрос задан 9 лет назад

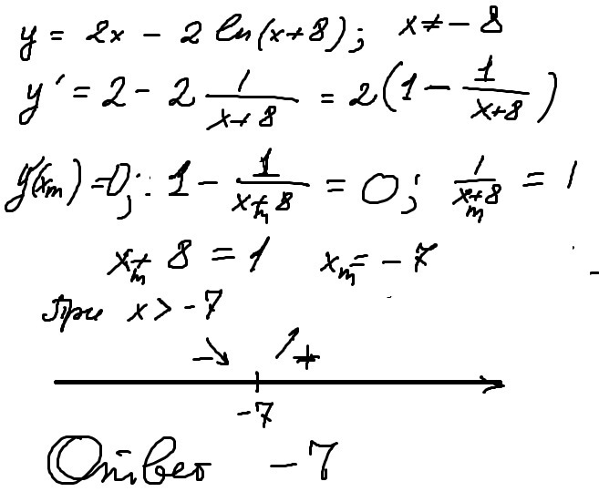
y=2x-ln(x+8)^2 найти точку минимума

Ответы

Ответ дал: bzsr1
0
Странно. Проблем не вижу никаких
Приложения:
Вас заинтересует