Ответы
Ответ дал:
0
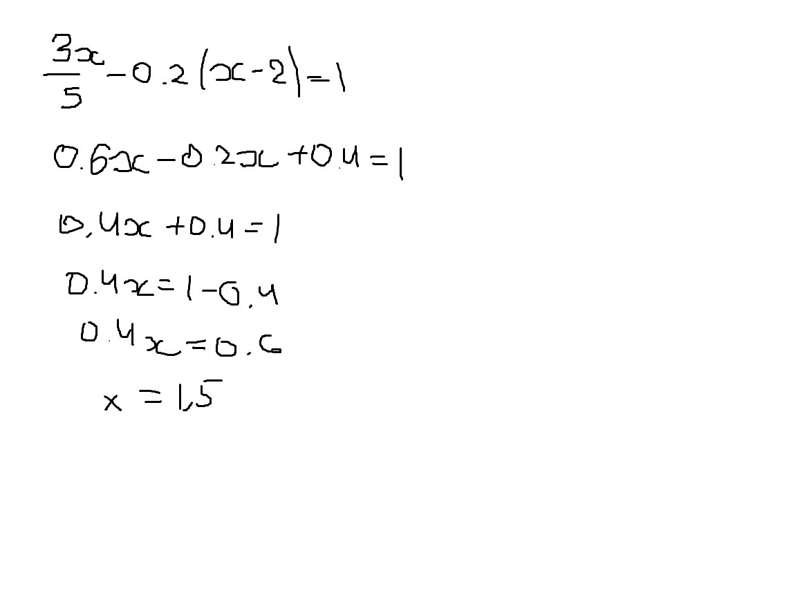
Решение смотри на фото
Приложения:

Ответ дал:
0
otvet/////////////////////////
Приложения:

Вас заинтересует
2 года назад
2 года назад
7 лет назад
7 лет назад
9 лет назад
9 лет назад
10 лет назад