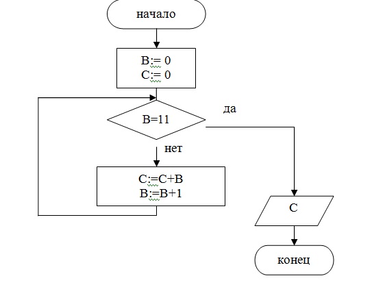
Определите результат выполнения алгоритма по приведенной ниже блок-схеме

плиз

Приложения:

Ответы

Ответ дал: Alphaeus
0

Во вложении - таблица значений С и В.

Результатом выполнения программы будет значение числа С:

С = 55

 

Ответ: 55

Приложения:
Ответ дал: MrDarkSwan
0

С=100))) Просто поверь)))

Приложения:
Вас заинтересует