• Предмет: Алгебра
  • Автор: Аноним
  • Вопрос задан 9 лет назад

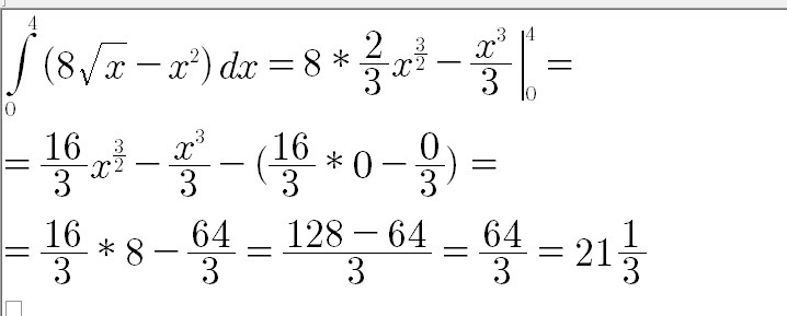
y=8√​x , y=x^2 . найти площадь фигуры, органической линиями

Ответы

Ответ дал: ShirokovP
0
см фото + решение
==================================

Приложения:
Вас заинтересует