• Предмет: Алгебра
  • Автор: Ремаркабл
  • Вопрос задан 11 лет назад

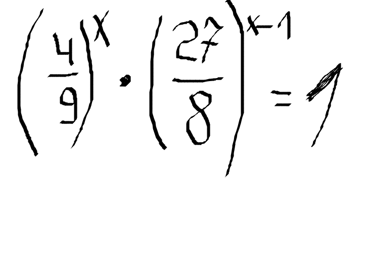
решить уравнение  .пожалуйста .экзамен через 2 недели. 

Приложения:

Ответы

Ответ дал: Дилетант1
0

(4/9)^x*(27/8)^x-1 = 1; (4/9)^x*(27/8)^x/(27/8) = 1; (4/9)^x*(27/8)^x = 27/8; (4/9*27/8)^x = 27/8; (4*27/9*8)^x = 27/8; (108/72)^x = 27/8; (108/36/72/36)^x = 27/8; (3/2)^x = 27/8; (3/2)^x = 3^3/2^3; (3/2)^x = (3/2)^3; x = 3 Ответ: 3. 

Ответ дал: laymlaym2
0

(frac{4}{9})^x*(frac{27}{8})^{x-1}=1\\((frac{2}{3})^2)^x*((frac{8}{27})^{-1})^{x-1}=(frac{2}{3})^0\\frac{2}{3}^{2x}*((frac{2}{3})^3)^{1-x}=(frac{2}{3})^0\\(frac{2}{3})^{2x}*(frac{2}{3})^{3-3x}=(frac{2}{3})^0\\(frac{2}{3})^{2x+3-3x}=(frac{2}{3})^0\2x+3-3x=0\-x=-3\x=3

Вас заинтересует