Ребят помогите,пожалуйста,вообще не пойму как решить,а сдавать завтра уже!(За ранее спасибо за решение )
Приложения:

Ответы
Ответ дал:
0
Ребят помогите,пожалуйста,вообще не пойму как решить,
Приложения:


Ответ дал:
0
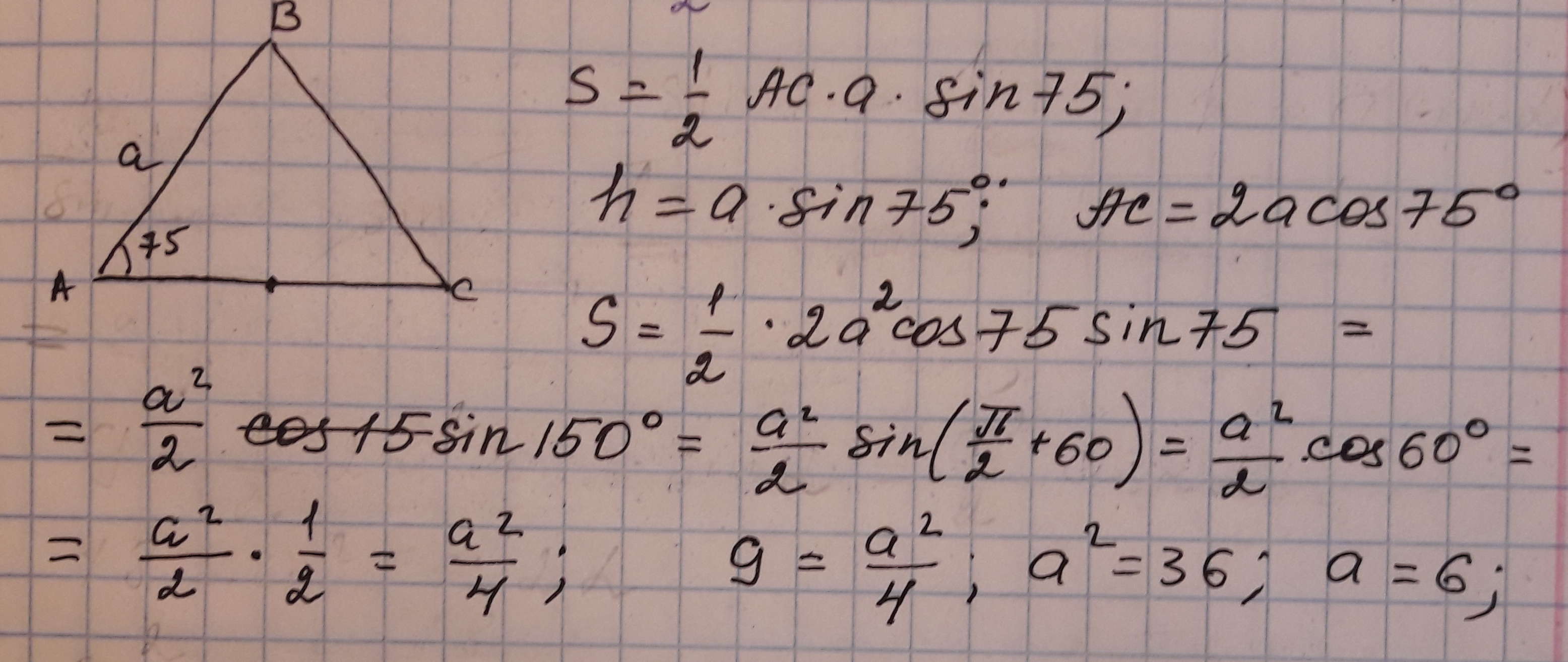
так, даю решение первого. Угол В=180-(75*2)=30 Площадь треуг. через синус S=(a*a*sinB)/2 a^2=2S/sinB S по условию =9, а синус 30 =1/2 откуда а=6 Все просто и без заморочек.
Вас заинтересует
2 года назад
2 года назад
7 лет назад
7 лет назад
9 лет назад
10 лет назад