• Предмет: Алгебра
  • Автор: каланка68
  • Вопрос задан 9 лет назад

помогите с алгеброй √5

Приложения:

Ответы

Ответ дал: vanoles
0
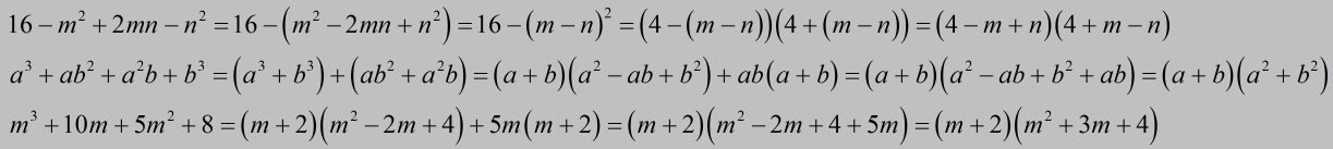
Формулы сокращенного умножения
Приложения:
Вас заинтересует