Ответы
Ответ дал:
0
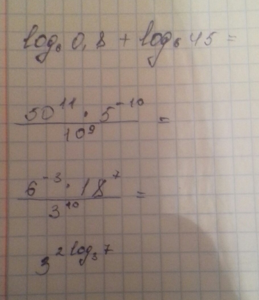
log₆0,8+log₆45 = log₆(0,8*45) = log₆36 = 2
50¹¹·5⁺¹⁰:10⁹=5¹¹·10¹¹·5⁻¹⁰·10⁻⁹=5·10²=500
6⁻³·18⁷:3¹⁰ = 6⁻³·6⁷·3⁷·3⁻¹⁰ = 6⁴·3⁻³ = 2⁴·3⁴·3⁻³ = 2⁴·3 = 16·3 = 48
= 7² = 49
50¹¹·5⁺¹⁰:10⁹=5¹¹·10¹¹·5⁻¹⁰·10⁻⁹=5·10²=500
6⁻³·18⁷:3¹⁰ = 6⁻³·6⁷·3⁷·3⁻¹⁰ = 6⁴·3⁻³ = 2⁴·3⁴·3⁻³ = 2⁴·3 = 16·3 = 48
= 7² = 49
Вас заинтересует
2 года назад
2 года назад
7 лет назад
10 лет назад
10 лет назад
10 лет назад