• Предмет: Алгебра
  • Автор: Oksanka200214
  • Вопрос задан 9 лет назад

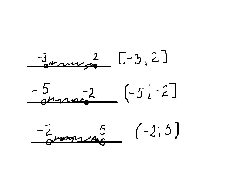
изобразите на координатной оси числовой промежуток:
а) [-3; 2] б) (-5; -2] в) (-2; 5)

Ответы

Ответ дал: parus77
0
если скобка круглая промежуток открытый и точка не закрашена,т.е эта точка в этот промежуток не входит.
.если скобка квадратная,то промежуток  закрытый и точка закрашена и точка принадлежит этому промежутку
Приложения:
Ответ дал: Kixcertborn2
0
Задание решено..............
Приложения:
Вас заинтересует