Вычислите обьем (м3) оксида углерода (IV) и массу жженой извести (CaO), который можно получить при обжиге 500 кг известняка, содержащего 92 % карбоната кальция
Ответы
Ответ дал:
0
CaCO3 = CO2 + CaO, температура над стрелкой
Масса чистого карбоната кальция 500*0,92= 460 кг = 460000 граммов (Над СаСО3 написать)
Под СаСО3 написать 40+12+16*3 = 100 грамм
Над СО2 написать Х, над СаО написать У (Латниские)
Под СО2 22,4 л, под СаО 40+16=56 граммов
Обьем СО2:
460000/100 = Х/22,4
Х = 103040 литров
Масса Сао:
460000/100 = У/56
У = 257600 граммов = 257,6 кг
Ответ: V(СО2) = 103040 литров, m(СаО) = 257,6 кг
Ответ дал:
0
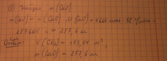
Решение на фото.............................
Приложения:



Вас заинтересует
2 года назад
2 года назад
8 лет назад
8 лет назад
10 лет назад
10 лет назад
10 лет назад