• Предмет: Алгебра
  • Автор: JuliaAlex1208
  • Вопрос задан 9 лет назад

Помогите с уравнением:

Приложения:

Ответы

Ответ дал: samodina
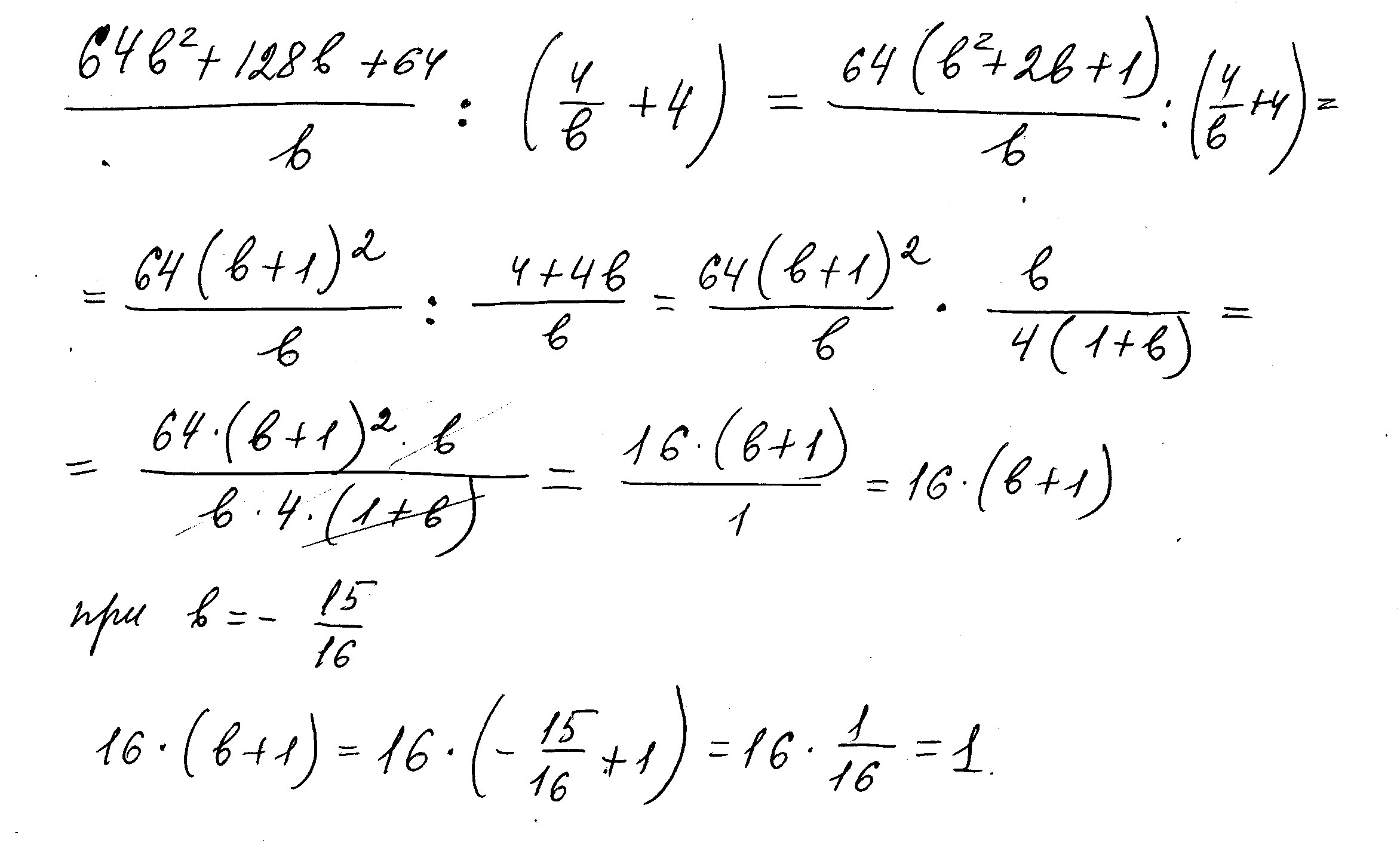
0
решение во вложенном файле
Приложения:
Ответ дал: JuliaAlex1208
0
А куда ты - дела? в ответе
Ответ дал: samodina
0
не стало минуса. т.к. -15/16+1 =1/16 (уже с плюсом)
Ответ дал: JuliaAlex1208
0
А почему? Там же минус около дроби..я не понимаю.
Ответ дал: samodina
0
Это правило сложения чисел с разными знаками. "Чтобы сложить 2 числа с разными знаками, нужно из большего модуля вычесть меньший и поставить знак большего модуля." В нашем случае 1=16/16, это больше, чем 15/16, поэтому -15/16+1= - 15/16+16/16=+(16/16-15/16)=1/16
Вас заинтересует