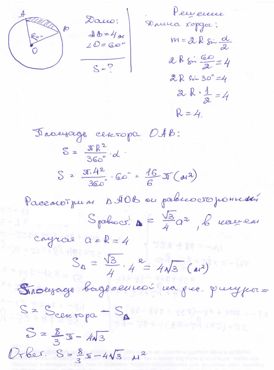
Найдите площадь фигуры, ограниченной дугой окружности и стягивающей ее хордой, если длина хорды равна 4 м, а градусная мера дуги равна 60 градусам.
Ответы
Ответ дал:
0
решение см. в файле
ответ можно округлить подставив 3,14 и вытащив из под корня 3
Приложения:
Вас заинтересует
3 года назад
3 года назад
8 лет назад
8 лет назад
11 лет назад
11 лет назад
11 лет назад