• Предмет: Математика
  • Автор: MariyaNR283
  • Вопрос задан 9 лет назад

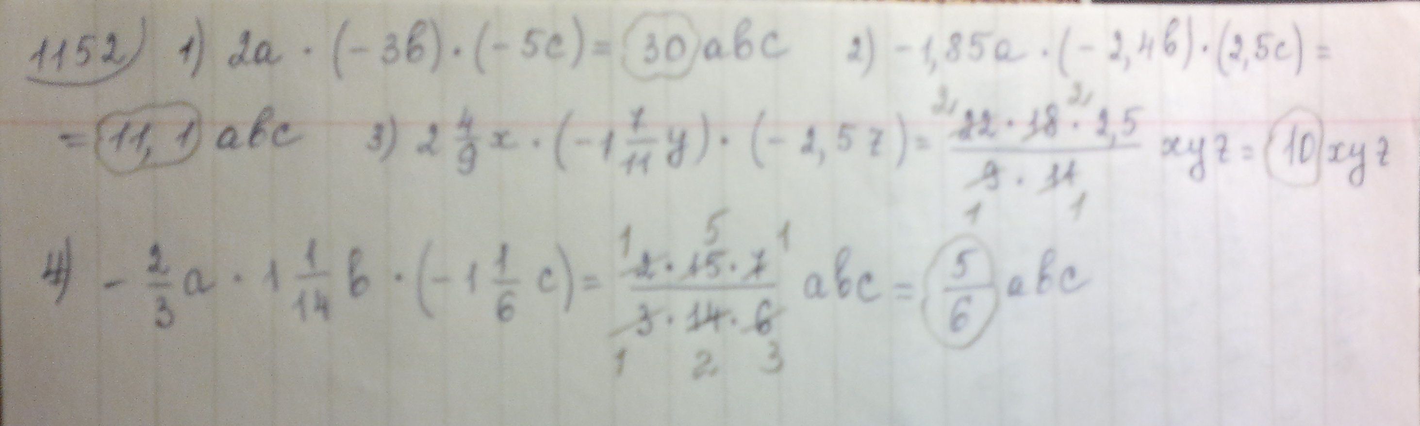
пожалуйста 1150 и 1152

Приложения:

Ответы

Ответ дал: ytekjdbvsq
0
Пишите, если что не так.
Приложения:
Вас заинтересует