• Предмет: Математика
  • Автор: DASHAPOMOZET
  • Вопрос задан 9 лет назад

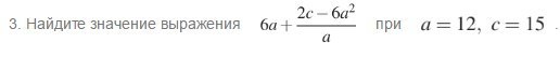
Найдите значение вы­ра­же­ния
Пожалуйста!
Дорешала до подстановки,запуталась.

Приложения:

Ответы

Ответ дал: AlinaLime7
0
6a*a+2c-6a*a/a= 2c/a
при a=12, c=15 
30/12=2,5
Ответ дал: rubilovalex
0
6a^2+2c-6a^2/a=2c/a. подставляем значения: 2*15/12 =2,5 .
Вас заинтересует