• Предмет: Алгебра
  • Автор: тотошка11
  • Вопрос задан 9 лет назад

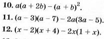
решите уравнение пожалуйста

Приложения:

Ответа на этот вопрос пока нет. Попробуйте найти его через форму поиска.

Вас заинтересует