Ответы
Ответ дал:
0
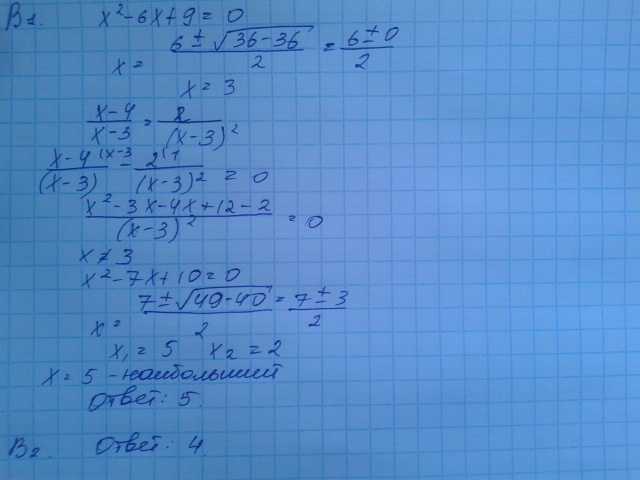
B1. 5
B2. прямая проходит через 4 точки,значит ответ:4
B2. прямая проходит через 4 точки,значит ответ:4
Приложения:
Вас заинтересует
3 года назад
3 года назад
7 лет назад
7 лет назад
10 лет назад
10 лет назад
10 лет назад