• Предмет: Алгебра
  • Автор: valyamn31122002
  • Вопрос задан 9 лет назад

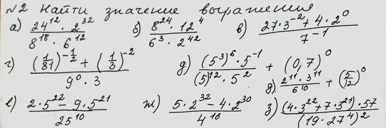
Помогите решить примеры, кроме а и б. 7 класс

Приложения:

Ответы

Ответ дал: ElenaChe
0
Учитываем, что любое число в нулевой степени равно 1. Если степень отрицательная, то его нужно перенести в знаменатель с положительной степенью.

Приложения:
Вас заинтересует