Помогите пожалуйста.
1- найти область определения(1 фото-1.22)
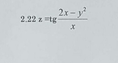
2-найти частное производное(2фото- 2.22)
Приложения:
Ответы
Ответ дал:
0
1)2x-5y≠0
2x≠5y
x≠(5/2)y
2)

2x≠5y
x≠(5/2)y
2)
Вас заинтересует
2 года назад
2 года назад
7 лет назад
7 лет назад
10 лет назад
10 лет назад
10 лет назад