• Предмет: Алгебра
  • Автор: tagrom
  • Вопрос задан 9 лет назад

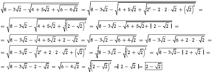
ПОЖАЛУЙСТА с решением, т.к очень хочу научиться решать подобные примеры. Благодарю!

Приложения:

Ответы

Ответ дал: Аноним
0
************************************************
Приложения:
Вас заинтересует