• Предмет: Математика
  • Автор: Димка1991
  • Вопрос задан 9 лет назад

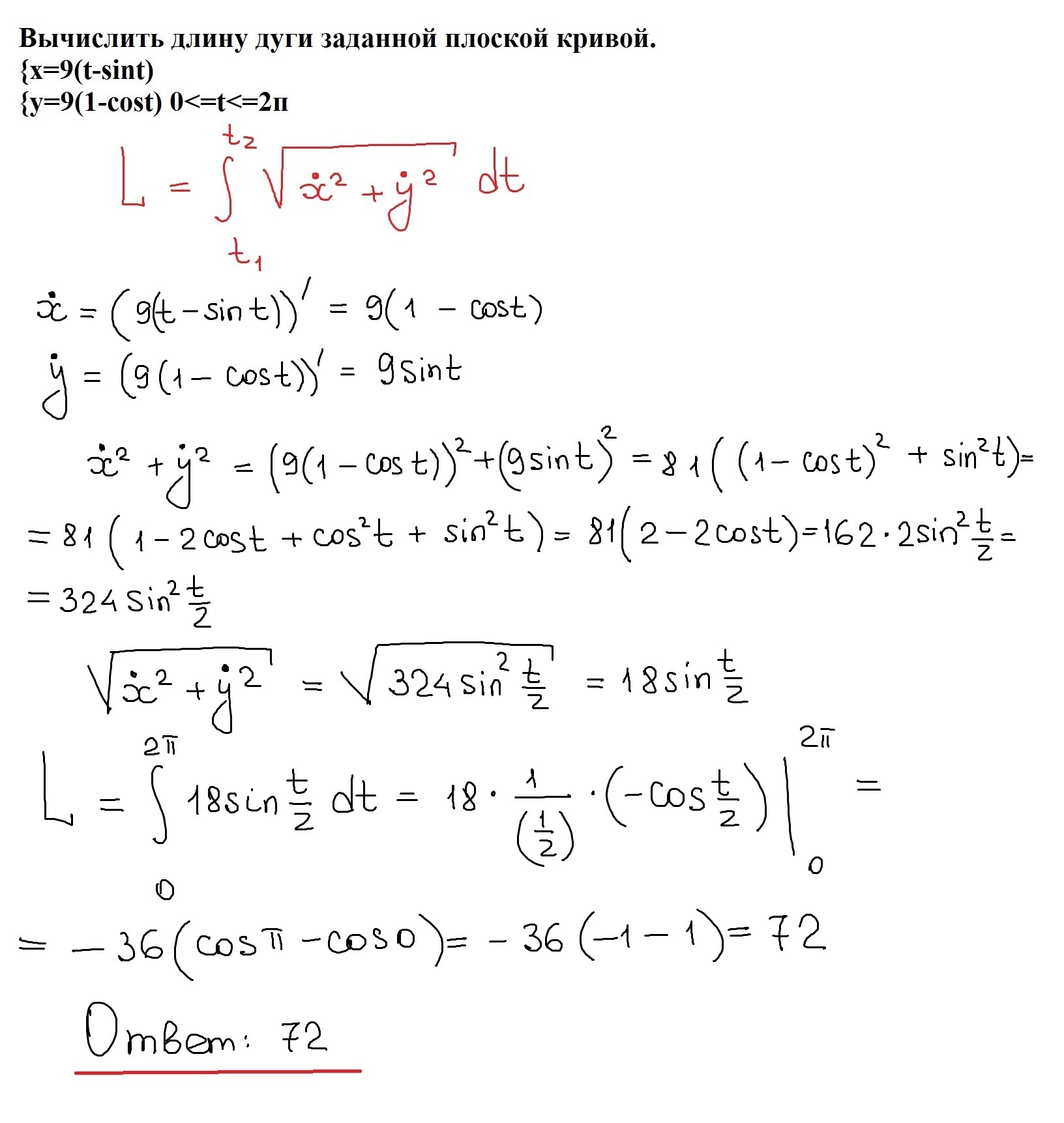
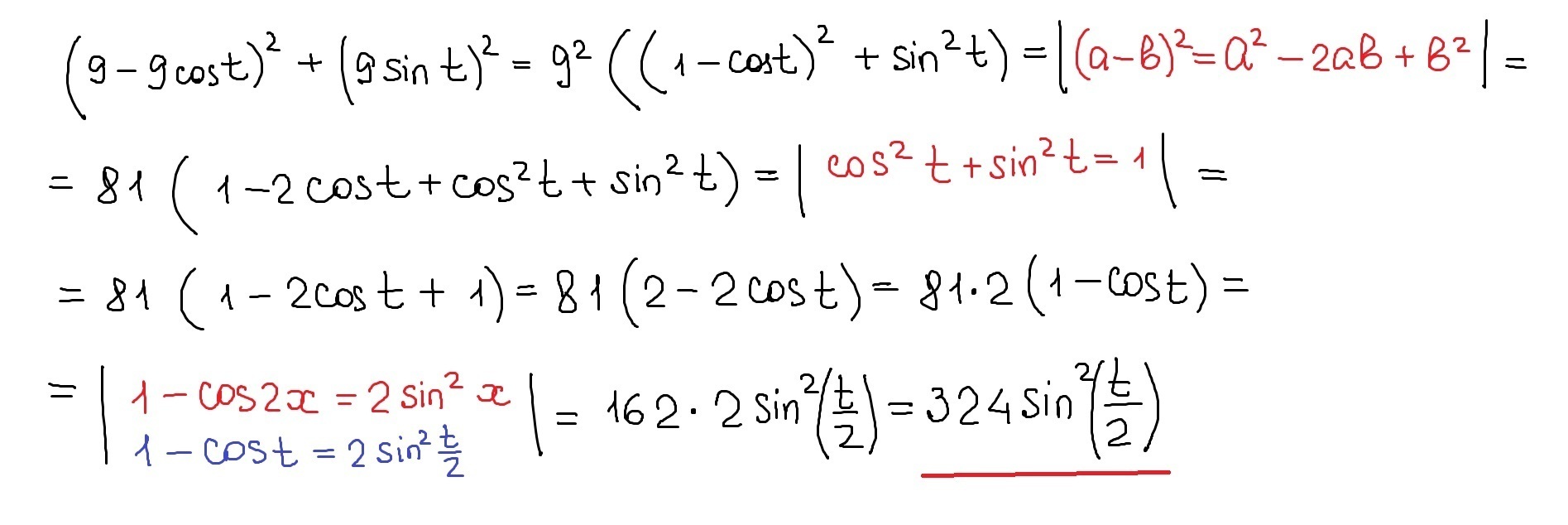
Вычислить длину дуги заданной плоской кривой.
{x=9(t-sint)
{y=9(1-cost) 0<=t<=2п

Ответы

Ответ дал: TatianaStebko
0
смотри решение на фото
Приложения:
Вас заинтересует