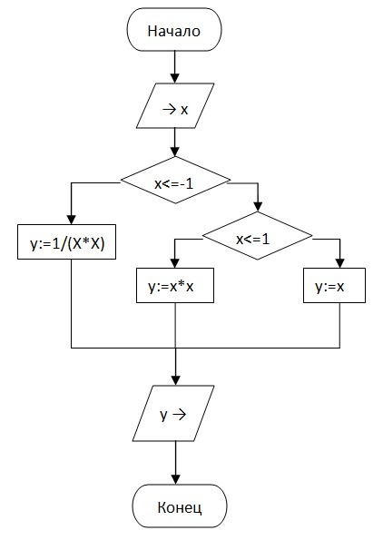
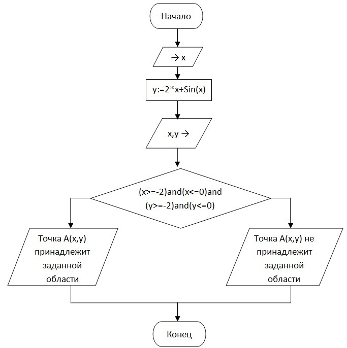
Помогите, пожалуйста, составить блок-схемы для 2-х задач, программы написал, а как блок-схемы не помню)
Приложения:

Ответы
Ответ дал:
0
______________________
Приложения:


Ответ дал:
0
Спасибо большое!
Вас заинтересует
7 лет назад
9 лет назад
9 лет назад
10 лет назад
10 лет назад