Ответы
Ответ дал:
0
разложить можно либо
1) методом группировки:
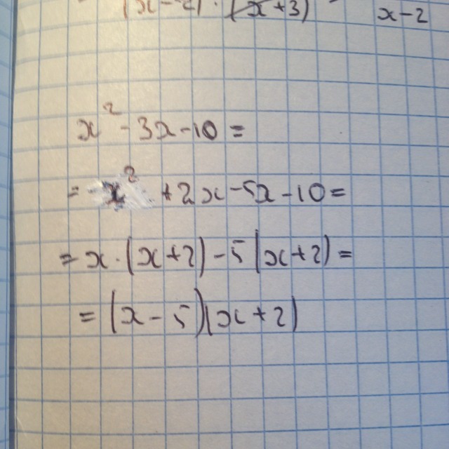
x²-3x-10 = x²+2x-5х-10=х(х+2)-5(х+2)=(х+2)(х-5)
либо
2) с помощью корней квадратного уравнения:
ах²+вх+с=а(х-х₁)(х-х₂)
в нашем случае:
x²-3x-10=0
через дискриминант или по теореме Виета находим корни уравнени
х₁=-2
х₂=5
и тогда x²-3x-10=(х-(-2))(х-5)=(х+2)(х-5)
ответ: (х+2)(х-5)
1) методом группировки:
x²-3x-10 = x²+2x-5х-10=х(х+2)-5(х+2)=(х+2)(х-5)
либо
2) с помощью корней квадратного уравнения:
ах²+вх+с=а(х-х₁)(х-х₂)
в нашем случае:
x²-3x-10=0
через дискриминант или по теореме Виета находим корни уравнени
х₁=-2
х₂=5
и тогда x²-3x-10=(х-(-2))(х-5)=(х+2)(х-5)
ответ: (х+2)(х-5)
Ответ дал:
0
Vashe zadanie resheno
Приложения:
Вас заинтересует
2 года назад
7 лет назад
7 лет назад
10 лет назад