• Предмет: Математика
  • Автор: Elvinochka7
  • Вопрос задан 9 лет назад

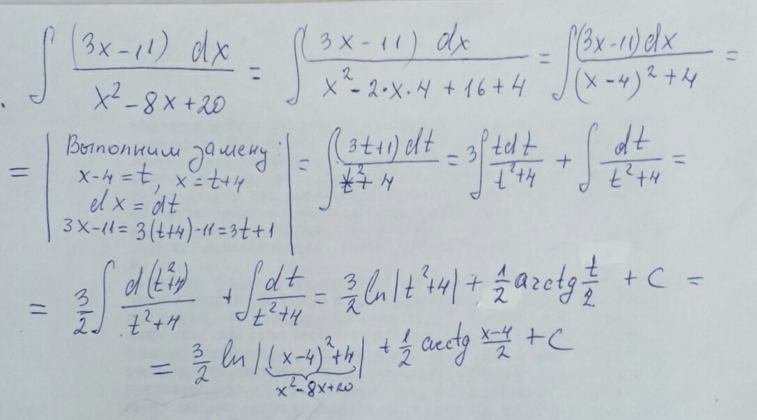
Пожалуйста ребятушки помогите найти неопределенные интегралы ,используя выделение полного квадрата

Приложения:

Ответы

Ответ дал: Nennn
0
..................................................
Приложения:
Вас заинтересует