Ответы
Ответ дал:
0
Сумма корней приведенного квадратного трехчлена x2 + px + q = 0 равна его второму коэффициенту p с противоположным знаком, а произведение – свободному члену q, т. е. x1 + x2 = – p и x1 x2 = q
x1+x2=12
x1*x2=29
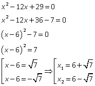
тут целого числа не будет. дискриминант=28. так что по формуле через дискриминант проще, чем по теореме Виета
x1+x2=12
x1*x2=29
тут целого числа не будет. дискриминант=28. так что по формуле через дискриминант проще, чем по теореме Виета
Ответ дал:
0
***********************************
Приложения:
Вас заинтересует
2 года назад
2 года назад
7 лет назад
10 лет назад
10 лет назад