• Предмет: Алгебра
  • Автор: yugolovin
  • Вопрос задан 9 лет назад

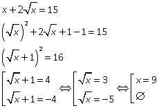
Решить уравнение x+2sqrt{x}=15

Ответы

Ответ дал: Аноним
0
*************************************
Приложения:
Ответ дал: Kixcertborn2
0
Vashe zadanie resheno
Приложения:
Вас заинтересует