• Предмет: Алгебра
  • Автор: TommoK
  • Вопрос задан 9 лет назад

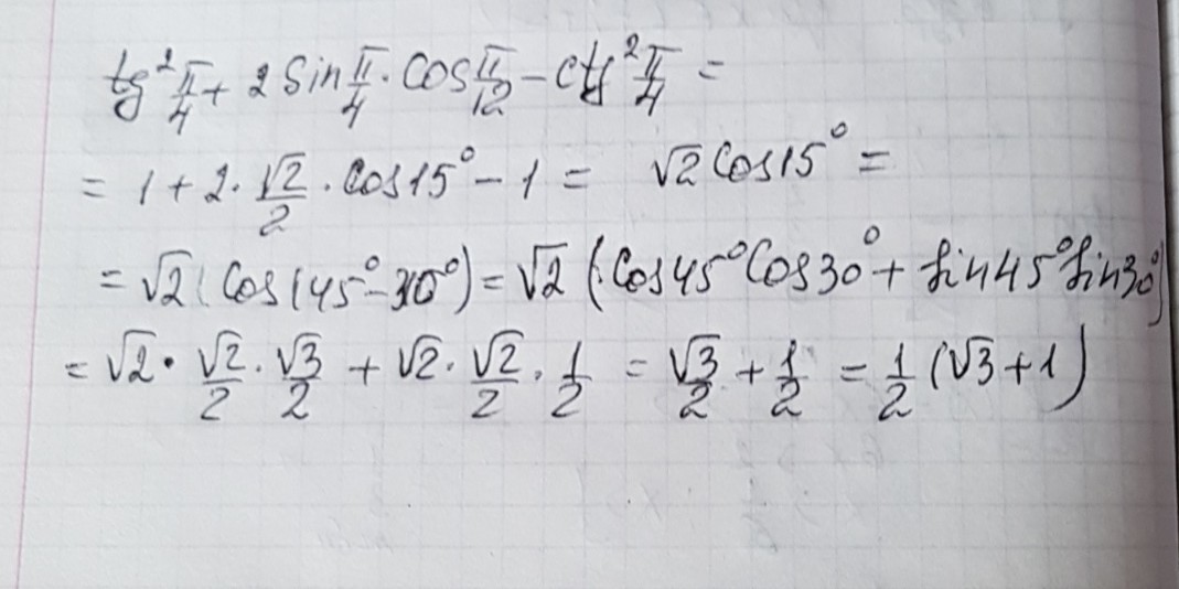
tg^2 п/4+2sin п/4*cos п/12-ctg^2 п/4

Ответы

Ответ дал: подкожного
0
решение задания смотри на фотографии
Приложения:
Ответ дал: подкожного
0
пожалуйста
Вас заинтересует