• Предмет: Алгебра
  • Автор: Кристи346
  • Вопрос задан 9 лет назад

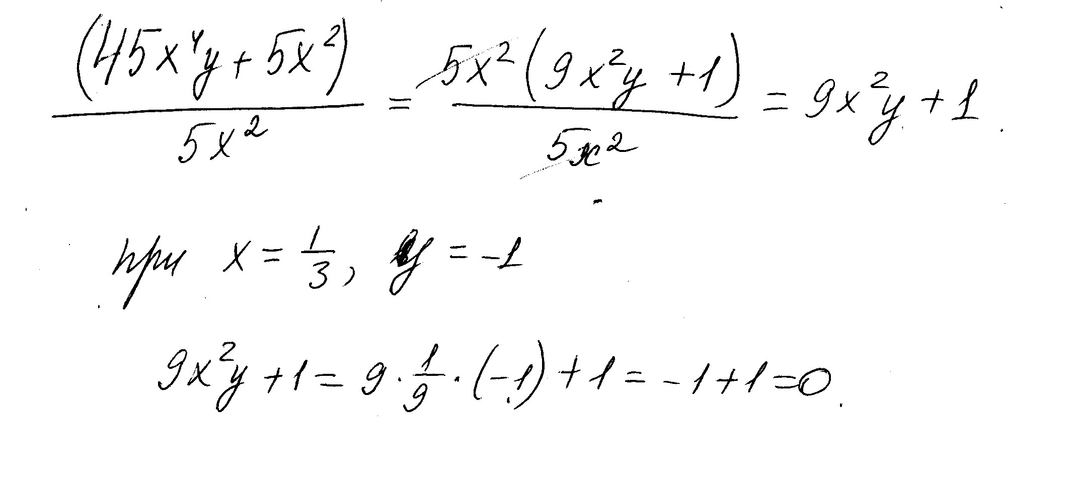
Упростите выражение (45x^4y+5x^2):5x^2 и найдите его значение при заданных значениях x=1/3, b=-1

Ответы

Ответ дал: samodina
0
решение во вложенном файле
Приложения:
Вас заинтересует