Ответы
Ответ дал:
0
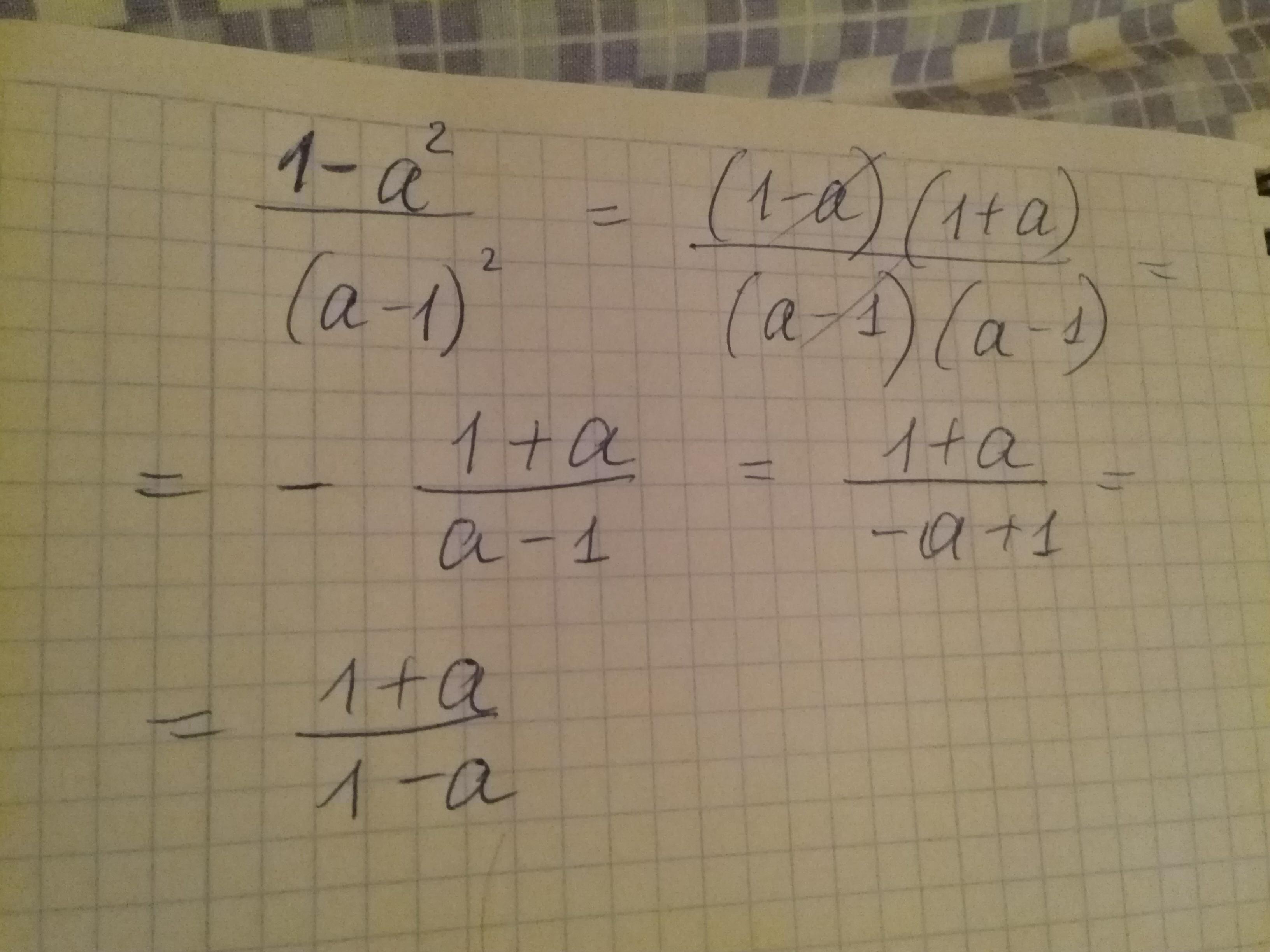
( 1 - a^2 ) / ( a - 1 )^2 = ( ( 1 - a )( 1 + a )) / ( a - 1 )^2 = ( - ( 1 + a )) / ( a - 1 ) = ( - 1 - a ) / ( a - 1 )
Ответ дал:
0
фото...............
Приложения:

Вас заинтересует
2 года назад
7 лет назад
7 лет назад
9 лет назад
9 лет назад
10 лет назад
10 лет назад