народ,поможете?
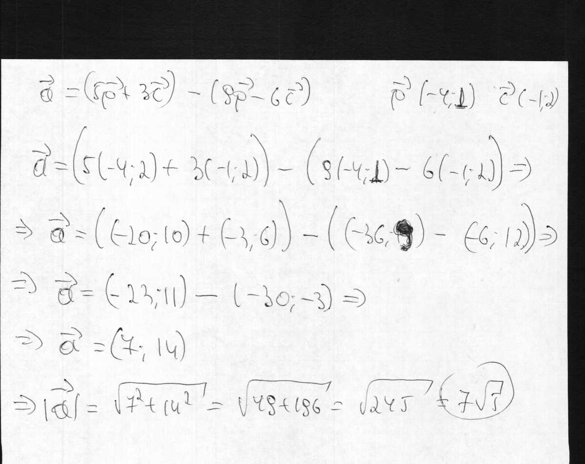
вычислите длину вектора а=(5р+3с)-(9р-6с), если даны координаты векторов р(-4;1) и с(-1;2)
есть ответы,кому нужны,в личку напишите.
Ответы
Ответ дал:
0
101010101010101010101010101010110101010110101010101010
Приложения:

Вас заинтересует
2 года назад
2 года назад
8 лет назад
10 лет назад