Ответы
Ответ дал:
0
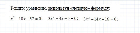
1) х²-10x-37=0
D=b²-4ac=-10²-4*1*(-37)=248
x1=-b+√D/2a= 10+√248/2*1
x2=-b-√D/2a = 10-√248/2
2) 3x²-4x-5=0
D=-4²-4*3*(-5) = 16+60=76
x1=4+√76/2*3 = 4+√76/6
x2=4-√76/6
3)3x²-14x+16=0
D=-14²-4*3*16=196-192=4
√D=2
x1=14+2/2*3=16/6
x2=14-2/6=12/6=2
D=b²-4ac=-10²-4*1*(-37)=248
x1=-b+√D/2a= 10+√248/2*1
x2=-b-√D/2a = 10-√248/2
2) 3x²-4x-5=0
D=-4²-4*3*(-5) = 16+60=76
x1=4+√76/2*3 = 4+√76/6
x2=4-√76/6
3)3x²-14x+16=0
D=-14²-4*3*16=196-192=4
√D=2
x1=14+2/2*3=16/6
x2=14-2/6=12/6=2
Вас заинтересует
2 года назад
2 года назад
7 лет назад
7 лет назад
10 лет назад
10 лет назад
10 лет назад